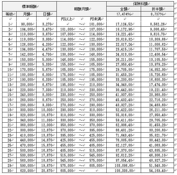
厚生年金保険の保険料率が、今までの17.120%から0.354%引き上げられ、「17.474%」となります。今回、改定された厚生年金保険の保険料率は「平成26年9月分(同年10月納付分)から平成27年8月分(同年9月納付分)まで」の保険料を計算する際の基礎となります。なお、健康保険の保険料率(全国健康保険協会管掌健康保険の都道府県単位保険料率)及び児童手当拠出金の率については、同月からの改定はありません。
■平成26年9月分からの厚生年金保険料額表(一般用/厚生年金基金加入員を除く)■■■■■■■■■

〈補足〉被保険者負担分(厚生年金保険料額表の折半額)に円未満の端数がある場合
① 事業主が、給与から被保険者負担分を控除する場合、被保険者負担分の端数が50銭以下の場合は切り捨て、 50銭を超える場合は切り上げて1円となります。
② 被保険者が、被保険者負担分を事業主へ現金で支払う場合、被保険者負担分の端数が50銭未満の場合は切り捨て、50銭以上の場合は切り上げて1円となります。
③ 上記①②にかかわらず、事業主と被保険者の間で特約がある場合には、特約に基づき端数処理をすることができます。
〈補足〉納入告知書の保険料額 納入告知書の保険料額は、被保険者個々の保険料額を合算した金額となります。ただし、その合算した金額に円未満の端数がある場合は、その端数を切り捨てた額となります。
注.厚生年金基金(存続厚生年金基金)に加入する方の厚生年金保険の保険料率は、上記の保険料率から、基金ごとに定められている免除保険料率(2.4%~5.0%)を控除した率となり、厚生年金保険の保険料額は、その率によって計算した額となります。
注.賞与に係る保険料は、賞与額から1,000円未満の端数を切り捨てた額(標準賞与額)に、保険料率(標準報酬月額に乗じるものと同じ保険料率)を乗じた額になります。なお、厚生年金保険では、標準賞与額の上限が、1か月あたり150万円とされています。










